您的当前位置:首页 > 研究亮点
研究亮点

成都山地所淋溶过程对山地土壤有机磷分布的影响研究取得进展

时间:2018-04-28   文章编辑:环境重点实验室   文本大小:【 |  | 】  【打印

  淋溶过程在山地中广泛发生,其对土壤有机磷形态海拔分布特征的影响不容忽视。在国家自然科学基金(4163075141401253)资助下,成都山地所吴艳宏研究团队基于贡嘎山东坡海拔 2600-3200 m峨眉冷杉林,揭示了土壤有机磷形态的赋存特征,阐明了森林土壤中淋溶过程对有机磷形态海拔分布特征的影响,为进一步探讨磷的生物地球化学循环与生态系统稳定提供基础。 

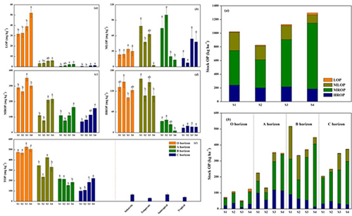
  研究发现,随海拔升高,活性有机磷(LOP)、中稳性有机磷(MROP)和总有机磷(TOP)浓度有增大趋势,而高稳性有机磷(HROP)则相反。A层和B层土壤中活性有机磷(MLOP)浓度有减小趋势,但其在O层和C层土壤中浓度均不存在显著性差异(P < 0.05)TOPMROP储量随海拔升高而增大,但两者的最小储量均在2781 m样点。LOP储量随海拔升高逐渐增大,4个采样点的MLOPHROP储量均不存在显著性差异(P < 0.05) 

  土壤TOP随海拔升高而增大的分布模式主要由于随海拔升高温度降低,微生物活性减弱导致有机磷矿化减慢。此外,淋溶过程也对其赋存特征产生明显干扰,导致其最小储量在2781 m样点为补偿淋溶造成的土壤生物有效磷(Bio-P)流失,生态系统不仅直接利用微生物量磷(MBP)补偿,且通过促进磷酸酶活性矿化LOP提高Bio-P供给。 MLOPMROP是随淋溶迁移最主要的两种有机磷形态,两者的垂向迁移主要依赖于土壤有机质(SOM)、无定形铁(Feox)和铝(Alox)。淋溶迁移过程中大部分有机磷在B层累积,但仍有少量有机磷流失。HROP是最稳定的有机磷形态,其海拔分布特征受淋溶作用的影响较小。 

  研究成果发表在国际学术期刊Geoderma上。 

    全文链接:https://authors.elsevier.com/c/1Wxbj3p6oC2cD

贡嘎山东坡峨眉冷杉林土壤有机磷海拔分布特征

贡嘎山东坡峨眉冷杉林土壤有机磷形态赋存特征的概念模型

版权所有:中国科学院、水利部成都山地灾害与环境研究所 蜀ICP备05003828号川公网安备 51010702001669号
地址:四川省成都市天府新区群贤南街189号 邮编:610213 | 联系我们